昨天被大神教训说需要帮助就把代码用代码格式写出来,sorry啊,第一次用,刚知道怎么操作,这个project是要用迭代法计算平方根,目的是跟内置数学函数计算的平方根作对比。
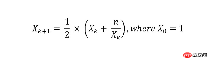
professor让用下面这个式子代入计算平方根。

import argparse # Used in main program to get PIN code from command line
from test_harness import testEQ # Used in CIS 210 for test cases
## Constants used by this program
def my_sqrt(number, iterations):
"""
Generate an iterative approximation to the square root of a number
args:
number: positive number to calculate the square root of
iterations: number of iterations to perform
returns:
approximate value of the square root
"""
#FIXME: Your code replaces the next line
value = -12345.0
return value
def run_tests():
"""
This function runs a set of tests to help you debug your
program as you develop it.
"""
print("**** TESTING --- 5 iterations for sqrt of 1, 10, 100, 1000, 10000")
testEQ("1.0", my_sqrt(1.0, 5), 1.0)
testEQ("10.0", my_sqrt(10.0, 5), 3.162277665175675)
testEQ("100.0", my_sqrt(100.0, 5), 10.032578510960604)
testEQ("1000.0", my_sqrt(1000.0, 5), 41.24542607499115)
testEQ("10000.0", my_sqrt(10000.0, 5), 323.0844833048122)
print("*** End of provided test cases. Add some of your own? ****")
def main():
"""
Interaction if run from the command line.
Magic for now; we'll look at what's going on here
in the next week or two.
"""
parser = argparse.ArgumentParser(description="Iterative approximation for pi")
parser.add_argument("Number", type=float, help="number (a float)")
parser.add_argument("-i", "--iterations", type=int, help="iterations (an int)")
args = parser.parse_args() # gets arguments from command line
number = args.Number
iterations = args.iterations
value = my_sqrt(number, iterations)
print("After", iterations, "iterations, sqrt(", number, ") = ", value)
if __name__ == "__main__":
run_tests() #FIXME: Comment this out when your program is working
# main() #FIXME: Uncomment this when your program is working
stater code 就是这样,当然大部分都写好了,只是需要my_sqrt的function,因为没有基础上这个课真的是好难啊。我不是很清楚怎么能把这个式子代入,当然有大神指点一下代入方法让我自己想一下也是可以哟,现在真是没有头绪。
多谢!
抱拳!
Copyright 2014-2025 https://www.php.cn/ All Rights Reserved | php.cn | 湘ICP备2023035733号
python3